https://jbgelsenorj.github.io/RPG-Progression/
2. Why the feel of progression is so important
3. How to avoid repetition: The Skinner Box theory
4. RPG’s Progression system: Different mathematical aproaches
Role Playing Games’ origin is via tabletop games, these games began to exist at the start of the 70’s decade where famous sagas such as Dungeons & Dragons were created. On this games you describe your actions through speech, you also make a characterization based in a system of classes (depending of the version with more or less combinations) and you had to follow certain rules and guidelines. According to this, with some gaps for improvisation, you have a different story and conclusions each game.

A Role-playing-game is a video game genre derived by the homonymous genre depicted above, where you take the control of a character or a group of characters in, defined by the next characteristics:
Some of the first videogames which classified and defined this genre were Final Fantasy & Dragon Quest.
Due to some cultural difference the genre got divided in two trends, Western RPG’s (WRPG) or just RPGs and Japanese RPGs or JRPG.

| JRPG | WRPG |
|---|---|
| Defined characters | Character customization |
| Lighter, anime/chibi art style | Darker, more aestheticaly realist worlds |
| Lineal storylines | Non-linear storylines |
| Turn based combat* | Real time combat* |
* Due to nowadays trends and hardware potency, some of the actual JRPG’s also have real time combat (Dark Souls, Kingdom Hearts, Final Fantasy XV…)
RPG’s (and specially MMO-RPG’s) are famous because their games are some of the most long-to beat of the industry, actually, some of them are arguably infinite. Our mission as game developers is to engage the player time enough to more or less beat the game or in some cases too play as much as he thinks the purchase was worth it, this is not only a question of personal realization or moral, if a player likes your game he may talk his friends about it, or review in a forum… this will create some potential sales to your games, in addition to this, if the player likes the game he would probably buy a sequel/prequel edition.
As a fun fact Demon Souls didn’t go very well on it’s release, but based on the talk to talk of the people who actually liked the game it became a cult game. This success will eventualy become as a certain interest for Sony to fund a spiritual sequel called Dark Souls and, as they say, the rest is history…

So…Which methods are good to achieve this engagement on our players?
The last one is today’s lesson, we are going to deeply evaluate progression systems in RPG (and some other genres) to make you able to understand what is a good design idea and what is not.

To illustrate some bad progression design ideas we are goint to briefly explain The Skinner box theory.

Burrhus Frederic Skinner was an American psychologist, behaviorist, author, inventor, and social philosopher. He was a psicology professor in harvard during the early 60’s to his retirement in 1974.
quoted from wikipedia
He formulated a theory that describes that you can condition volition, in other words, you can change peoples decisions by manipulating them. This is the base of some recurring mechanics in videogames nowadays. To resume the experiment he created a box with a button and put a rat inside, if the rat pressed the button, food would be given to it. This was very interesting at the time, because you are manipulating a decision, the rat had the option to just not press the button. He later found a way to manipulate the rat to press the button when he wanted.
He also discovered that always rewarding an action was not the best way to keep the subject doing that action, which means that randomly rewarding the subject or just making it wait to recieve the reward was a far better way to keep the action being done.

Doesn’t the above statement sound familiar?
On our field this is a well known practice, as new rewarding systems close to gambling have been appearing for the last few years (lootboxes, clickergames…).

But on RPG’s these practices have been present for a long time. A clear example of this is World of Warcraft, one of the most succesfull RPG’s of all time. This game exploits this theory to make quests “more rewarding” and keep the players doing them although they would probably find it tedious if they didn’t have that reward. But why is this a wrong practice?
Well is not always bad, but the problem is that games use this mechanics as game pillars, just trying to artificially extend the time the players invest in them. As stated before some RPG’s use these mechanics, but some of the best use them just as a complement to inmerse the player in a rich experience, by complementing them with great stories, great adventures, fun gameplay…
A very good way to avoid this, is making a rich talent tree that adds a long term strategic component to the game. This makes the player to think about his future in the game, how is he going to achieve that and motivates him to actually start the path.
A good example of this is the skill tree in Skyrim:

This skill tree separates the abilities in different sections and the player is the one who decides which one he is going to improve: simple, functional and consistent.
How do I improve my archery?
By using the bow.
How do I improve my magic?
By using magic.
Is that “simple”, the player can make his own history, he can be the greatest archer in the kingdom, the best wizard, or even both! By the improvement of this capacities, the player feels progression and feels rewarded from the time he dedicated to achieve this. In other words: ENGAGED
A bad practice some RPG’s are still using is having a defined skills system:
At level 1 you gain strength
At level 2 you gain a new magic
At level 3…
This just creates a less pleasing experience, the player goes through the game with no thinking of his future playthroughs, he can easily just abandon it. He can think that the endgame is not interesting because he has 0 decision power to personalize it.

Other good way to enrich the experience is to add a narrative component to the player progression. This way you can make the player to feel a cohesive and coherent development of his character.
For example: In undertale you can either be a pacifist or a complete genocide, if you choose to kill all the people you will see the repercussions in the map. The enemies you killed are actually the inhabitants of this world, and when you cross their cities you will encounter a desolate scene.
On the other hand if you act like a pacifist, the own people will start to question why they have to kill you and you end being the bridge between their civilization and the human world.

In conclusion using the Skinner box theory is not bad perse but to avoid the player to quickly be tired of your game you have to compliment the mechanics with a real reason to please the player for investing his time

Like most of the factors involved in the development of videogames, maths are present in the way of how we design the progress of our different systems. First we want to define how fast our player is going to progress over time. How much experience have players to invest into the game to gain a level? Is he going to need more experience each level? Or less?. These are both valid ways to create your leveling system.
To clearly visualize the representation of this we use a experience curve.

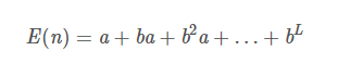
We have now defined our leveling system, the most common one is an exponential experience system. In other words, each level requires more experience than the previous one. To easily englobe this we can use the following formula:
Being L the level we are currently achieving.
Being a the experience needed for level 1
Being b the increment we will multiply to the previous amount of experience needed (increment)
For example:
At level 2 we will need a experience plus b times a
At level 3 we will need the first experience plus b times the increment at level 2
This is what is called a geometric succession, that can be expresed like this:
To ejemplify the use of this formulas we are going to explain real cases.
Runescape
In runescape the designers applied this formula:
A quite complicated formula that kinda has the same spirit of the one we presented before, an exponential function.
World of Warcraft legacy
Being Diff a difficulty factor.
Being MXP the basic experience given by a monster of level L.
Being RF a scaling factor.
This formula starts as a quadratic experience curve that then transforms into exponential. Giving us this curious curve:

Diablo 3
The Diablo 3 Formula can be easily stated on:

With these different approaches to a progressing system and the basis we established before, we can now make an adequated system.
In a genre with such a rich series of components we have a really important job: To appropriately balance the mechanics
We want the player to have his own experience but if we left some ways to “cheat” our systems we can encounter a disbalance in them.
An example: If we have a piece created by some component that can be sold by a bigger amount than the final piece, also imagine that this piece is a key object to progress in the story, the player will feel confused by the lack of logic. Or if one build is very much powerful than other.
That are just some simplification of real problems, but, what if you have different ways to approach a situation and one of them is extremely easier than the rest? Most of the players will decide to take this path, not because they think its funnier or more interesting, just because its easier.
This will lead to two possible scenarios:
The player who took the easier path is not satisfied with the reward (no entrance in flow state)——> He leaves the game = boredom
The player who took other paths is frustated because he knows that there were other ways to overcome this challenge with less skill (no entrance in flow state) ———> He leaves the game = frustation
So in summary, to earn the players engagement you can create a progression system that makes the player enjoy his experience while playing. To achieve this you can use basic manipulation strategies or richer systems that will eventually make the player feel more satisfied, and to make this all fair you have to adequately balance the mechanics.